Incorporating Minerals to Enhance the Performance of Hybrid Polymer Technologies
Engineered calcium carbonates can be used to optimize the rheological and mechanical properties of hybrid adhesives and sealants.


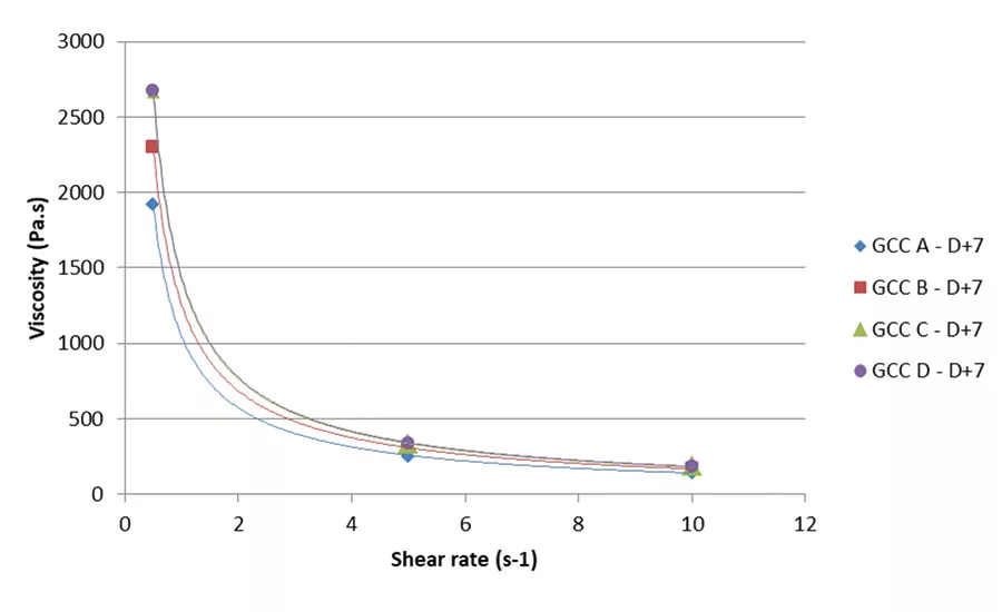
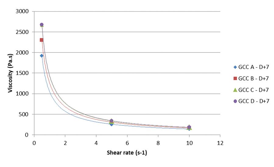
Figure 1. Viscosity profiles of the sealant after seven days of storage at 23°C.

Figure 2. Moisture pick-up of the different GCC grades.

Figure 3. Viscosity profile of the adhesive.







Silane-modified polymers are designed to combine the strength of polyurethanes with the weathering resistance of silicones.1 In addition to their high-performance properties, these hybrid polymers are achieving popularity due to their solvent- and isocyanate-free nature.2 Sealants based on hybrid polymers also provide good over-paintability, stain resistance, and primerless adhesion to a wide range of substrates.
In silane-modified sealants, the mineral component can represent over 60 wt% of a commercial formulation. The choice of mineral therefore has an impact on the processing and ultimate performance of the sealant. Many mineral types are used in sealants and adhesives for applications including construction and glazing, transportation, and DIY. For example, engineered calcium carbonates are used to modify rheological and mechanical properties to address the correct cost/performance ratio applicable for the relevant application. Maximizing the inorganic content and minimizing the organic binder content is a common trend in such compounds.
Calcium carbonates are widely used in sealants and broadly fall into two categories: material derived from natural renewable sources such as ground calcium carbonate (GCC), or grades produced synthetically such as precipitated calcium carbonate (PCC). Medium-fineness GCCs with average particle sizes of > 3 microns are commonly used as extenders. Fine and ultrafine GCC grades with average particle sizes between 0.2-3 microns contribute to structure, thixotropy, and reinforcement. Ultrafine PCC grades with average particle sizes between 0.05-0.2 microns have an even higher impact on thixotropy and reinforcement. They can also be surface treated to aid dispersion and reduce moisture.
Sealants based on hybrid polymers, such as silane-terminated polyethers, are promoted as providing a good combination of strength, weathering characteristic, paint adhesion, and stain resistance, as well as excellent adhesion to a wide range of substrates. One-component silane-terminated polyether sealants provide a demanding environment for the minerals that can constitute over 60% of its mass. For example, the mineral must contribute positively to the sealant’s whiteness, viscosity, anti-slump behavior, and mechanical properties without adversely affecting storage stability, curing, and adhesion properties.
Experimental Details
An evaluation of minerals in silane-terminated polyether sealants was undertaken in both low-and high-modulus systems. Low modulus is defined as having a modulus at 100% elongation of less than 0.4 MPa; high modulus is greater than 0.4 MPa under the same elongation. Two formulations were used: one low-modulus sealant and one high-modulus adhesive. Basic formulation details are given in Table 1, with formulation 1 being low modulus and formulation 2 being high modulus. All calcium carbonates used in the study were surface treated.
The sealant and adhesive mixes were carried out under vacuum in a Labotop mixer from PC Laborsystem. Samples were conditioned in cartridges. The rheological properties of the mixes were measured after 7 days at 23°C and 7 days at 50°C conditioning using a Kinexus Pro rheometer (PP25, 23°C).
Extrusion rates of the sealant were measured on the conditioned cartridges at constant pressure and time, and the quantity extruded was recorded. The storage stability is calculated as the ratio of the extrusion rate after 7 days of storage at 50°C and 7 days of storage at 23°C.
Tensile strength and elongation were measured after curing for 1 week in a controlled atmosphere. The evaluations explored the impact of different coated GCCs on rheological and mechanical properties, as well as their storage stability.
Sealant Formulation
The calcium carbonate component of formulation 1 was varied to incorporate combinations of ultrafine and fine GCC (d50 between 1-3 µm). The GCCs used were marble-based to provide high whiteness.
Viscosity profiles of the formulation 1 sealant incorporating the different GCC grades are shown in Figure 1. Sealants produced with GCC C and GCC D (specifically engineered ultrafine GCC grades with low moisture content) exhibited higher viscosities than those containing the other fine and ultrafine GCC grades. It is interesting to note that the sealant produced with GCC C displayed better shear-thinning effect than the one containing GCC B, despite having the same d50 of 2 µm.
The optical and mechanical properties of formulation 1 are shown in Table 3. All of the GCCs used resulted in good brightness. Compared to limestone-based products, these marble-based calcium carbonates provide a potential reduction of expensive pigments like titanium dioxide in white sealant formulations due to the lower b value.
For the same hardness, the sealants produced with GCC C and GCC D exhibited higher tensile strength and elongation than those containing the other fine and ultrafine GCC grades. Again, it can be noted that the sealant produced with GCC C displayed better tensile strength and elongation than the one containing GCC B, despite having the same d50 of 2 µm. The best mechanical properties were obtained with GCC D.
An elevated temperature is often used during the manufacture of silane-terminated polyether sealant components to facilitate removal of residual moisture.3 This extends the process time and can increase energy requirements. GCC C and D were developed to not only provide the necessary rheological and mechanical sealant properties but also to contribute to production process efficiency by providing low moisture content, which enables the reduction of the moisture scavenger. This moisture should remain low even when exposed to extreme conditions; therefore, the minerals also have low moisture pick-up. Due to these engineered properties, the sealant’s storage stability is enhanced.
Comparisons of the moisture pick-up profiles of the different GCC grades are shown in Figure 2). GCC C and GCC D display the lowest moisture pick-up, despite being the finest grades tested in this study. It is interesting to note that at the same d50, GCC B displays a higher, “standard” moisture pick-up compared to GCC C.
Laboratory tests have shown that a 30% reduction of moisture scavenger in the formulation is possible due to these low-moisture and low-moisture pick-up grades. Testing has also indicated that the use of GCC C and GCC D has a positive impact on silane-terminated polyether sealant stability. An example of this is shown in Table 4.
GCC C and GCC D contributed to improved sealant stability under heat ageing conditions, characterized in this case by sealant extrudability, even with reduced moisture scavenger contents. It is expected that it should be possible to combine the benefits of these GCC grades with reductions in process temperature while maintaining long-term stability.
Adhesive Formulation
Fine GCCs (d50 of ~ 5 µ) are commonly used in adhesives as a filler, as they are cost effective. They can be blended with an ultrafine precipitated calcium carbonate (PCC) or with a small amount of fumed silica to reach the desired rheology. However, an ultrafine GCC (d50 of ~ 0.9 µ) can be used to increase both rheological and mechanical properties. The calcium carbonate component of formulation 2 was varied to incorporate combinations of ultrafine and medium-size GCC (d50 between 0.9-5 µm).
The viscosity profiles of formulation 2 incorporating two carbonate combinations are shown in Figure 3). It can be seen that the viscosity of the adhesive using GCC E** was quite low; therefore, a blend with a functional mineral (e.g., ultrafine PCC, fumed silica) will be needed. The adhesive produced with GCC F† exhibited much higher viscosity and a higher shear-thinning effect, which is desired.
The mechanical properties of formulation 2 produced with the different GCCs are shown in Table 5. The hardness of both products was in the same range, but the use of ultrafine GCC enables increased tensile strength and elongation at the same time, which is beneficial. These findings, along with the rheology data shown in Figure 2, indicate that the 0.9 µm GCC provided more structure and was more effective than the 5 µm GCC, which would need to be combined with other additives.
Despite having higher moisture, GCC F led to adhesives with good storage stability. The initial viscosity results and the values after storage for 7 days at 50°C are presented in Table 7). The increase in viscosity after storage was moderate and acceptable at around 25%. These findings demonstrate that the incorporation of GCC F would be useful in increasing rheological and mechanical properties while maintaining good storage stability.
**Imercarb™ 20S †Imerseal 90S
Conclusions
In low-modulus silane-terminated sealants formulated with GCC, the use of GCC C and GCC D gave interesting rheological profiles with improved shear-thinning effect, enhanced mechanical properties (+ 40%), and excellent storage stability. These minerals are engineered to minimize the moisture content and pick-up and act as inorganic stabilizers for highly filled low-modulus sealants. They facilitate the optimization of process conditions such as reduction of dispersion and cooling time by allowing for lower batch mix temperatures, as well as the potential to reduce the moisture scavenger.
For more information, visit www.imerys.com.
References
- Petrie E., “MS Polymers In ‘Hybrid’ Sealants,” 2010, www.adhesives.org/docs/default-document-library/hybrid_sealants_may2010-final-(1).pdf.
- FEICA Market Report, 2019-2024, www.feica.org.
- “Kaneka MS Polymer™; your premium choice,” www.european-coatings.com/img/navigator/lack/Kaneka_MM_DOC_MSPolymer.pdf.
Looking for a reprint of this article?
From high-res PDFs to custom plaques, order your copy today!








