Novel Amorphous Polyolefins for Adhesive Applications
A new technology has been developed to produce innovative olefin polymers with a broad robust operating window for hot-melt adhesives applications.












Figure 8. Adhesive thermal stability at 177°C for 96 hrs.

Figure 9. Adhesive viscosity stability at 177°C, initial and aged for 96 hrs.
Polyolefin polymers have been an important part of daily life for variety of applications since the reported lab-scale process by Carothers in the 1930s1 and commercial process introduction by ICI in the 1940s.2 Most of the polyolefin polymer development since the 1940s can be referred back to the advent of novel catalyst chemistries and processing technologies. Ziegler3-Natta4-based catalyst chemistry dominated most of the commercial polyolefin manufacturing processes, including polypropylene, polyethylene and alpha-olefin5 copolymers until the 1980s.
The use of metallocene (zirconium)-based catalyst systems enabling higher comonomer incorporation with narrower molecular weight distribution to produce isotactic and syndiotactic polypropylene polymers6-7 opened several new markets for polyolefins in the mid-1980s. Further development in olefinic polymers was based on metallocene catalyst technology and constrained geometry catalysis technology (such as the one introduced in the last decade), enabling high activities for ethylene and alpha-olefin copolymerization and resulting in long chain branching, controlled monomer distribution and, thus, improved elastomeric and processability characteristics.8-11
Even though some of the newer metallocene-based olefinic polymers showed interesting viscoelastic characteristics and performance attributes,12-14 the adhesives industry is still dominated by the use of traditional polymers such as styrenic block copolymers (SBCs) and ethylene vinyl acetates (EVAs) for the majority of hot-melt adhesives applications, including hygiene (e.g., diaper, feminine hygiene, adult incontinence, etc.), and case and carton closure packaging applications.
However, the recent impact of lighter cracking slates on the availability of current polymers, along with a need for improved runnability, color, and reduced odor, have attracted many brand owners and adhesives formulators to shift their focus to olefin-based adhesives technology. In the last couple of years, several olefin polymer-based hot-melt adhesives have been introduced into the market. One of the biggest drawbacks of traditional olefin-based adhesives on the market is the lack of robustness, as shown in Figure 1. Robustness includes several factors: formulation flexibility for the adhesives manufacturers (i.e., formulating with different ingredients of different chemistries to achieve the same performance), ability to use different application techniques (e.g., coating, spraying, etc.), different application temperatures, applying to a variety of substrates and webs (e.g., coated, non-coated, etc.), enabling different coat weights/add-on, and applying at different speeds. Performance attributes are the characteristics of the performance of an adhesive when used for specific applications.
As can be seen in Figure 1, traditional olefin polymers on the market still lack the robustness in performance compared to the respective workhorse polymers for hot-melt adhesive applications. A novel amorphous polyolefin* has been developed using a proprietary technology that can be used for a variety of different applications to achieve desired properties while improving performance robustness. This article provides an overview of new amorphous polyolefin polymers and their performance windows, particularly their use as hygiene construction adhesives with a broad robust operating window.
Results and Discussion
A comparison of a traditional amorphous polyolefin (APO) copolymer map and the new developmental olefin polymer map is shown in Figure 2. The developmental polymers were prepared in an autoclave using a proprietary technology.
As shown in the figure, the traditional amorphous polyolefin map (purple) is very narrow with respect to the Ring & Ball Softening Point (ASTM E28) and Needle Penetration (ASTM D5) properties of the olefin polymer. The breadth and width (low to high) of softening point and needle penetration properties that were achieved using this novel technology enables penetration into different market segments, including hot-melt adhesives such as hygiene, packaging, PSAs, and some structural applications, including TPEs and film modification applications. Viscoelastic characteristics of these polymers in different regions (S1, S2, S3 and S4) mentioned in Figure 2 were evaluated using dynamic mechanical analysis (DMA), as shown in Figure 3. A TA Instruments Ares RDA3 rheometer was used in a parallel plate geometry (8 mm
plate, 1.7 mm gap) and autostrain mode (maximum strain at 5.0 %) at 10 Hz frequency with a heating rate of 6°C/min.
It is evident that the new polymers show distinctly different viscoelastic characteristics compared to traditional amorphous polyolefin. This novel technology enables the viscoelastic characteristics to be tailored, especially elastic modulus (G’) and glass-transition temperatures (Tg), into a broader window depending on the performance characteristics needed for the variety of different applications.
The elastic modulus and Tg of the new olefin polymer from the S1 and S2 regions (see Figure 2) are lower compared to the new olefin polymer from S3/S4 regions. However, polymers from the S3 and S4 regions show a more plateau elastic modulus curve over a broad temperature range. On the other hand, lower Tg, lower elastic modulus, and lower ring and ball softening point combined with optimum needle penetration properties make the new olefin polymers in S1/S2 and some of the S3 regions more suitable for applications that require the right adhesive/cohesive balance (e.g., hygiene construction, packaging and PSA applications).
It is impossible to provide all the application evaluations in detail from each of the polymers in different regions identified using this new olefin polymer technology in this article. Thus, for focus and clarity, the rest of the article focuses on the hygiene construction adhesives application evaluation with the new polymer developed using this novel olefin technology. Formulation techniques using the new polymer and the application evaluation including sprayability at different conditions (temperature, nozzle type, speed and add-on rate) and peel adhesion (room temperature, body temperature and two weeks of aged peel), when formulated into a hygiene construction adhesive will be explained in detail as well. Table 1 shows the properties of the new polymer for hygiene construction adhesive applications. Viscosity was measured at 190°C using a Brookfield digital viscometer model RVTD.
The new olefin polymer provided a broad operating window, including the best low- and high-temperature sprayability (irrespective of nozzle type, speed and add-on rate), with excellent peel adhesion, when formulated into a hygiene construction adhesive. Table 2 shows the hygiene construction adhesive formulations used in this study. The adhesives were produced using mechanical agitation (paddle-type agitator controlled by a variable speed motor) at 177°C. Polymer and antioxidant were introduced into the reactor and heated up to 177°C under a nitrogen blanket. Resin, followed by oil and other additives, was then introduced into the reactor after the polymer was melted. This was agitated for 30-45 min until the mixture was completely homogenous. After thorough mixing, the adhesive was poured into a silicone-lined cardboard box and allowed to cool.
The new olefin polymer was formulated with a variety of tackifiers (with different chemistries) and additives to obtain optimum performance characteristics, and also to demonstrate the formulation flexibility benefits. These four adhesives were compared against two commercial olefin control hot-melt adhesives (HMA) named as Olefin Control 1 and Olefin Control 2, and a commercial SBC control hot-melt adhesive. Adhesives using the new polymer (formulations shown in Table 2) and the three commercial control adhesives were evaluated for adhesive peel strength (room temperature, body temperature and two weeks aged) after the adhesive was applied on to a PE (1 mil corona treated) back sheet and laminated onto a nonwoven fabric (15 gsm, SMS) using a Nordson CTL 4600 series pilot-scale hot-melt coater with three different spray nozzles (CF®, Continuous Signature® and Summit™) and two different add-on levels (1 and 3 gsm) at a speed of 500 m/min.
Adhesive sprayability at different temperatures, the spray patterns and the sprayability window using different nozzle configurations are given in Figure 4. As can be seen in the figure, the new polymer-based HMA shows a broad application temperature window (130-160°C) irrespective of the nozzle configurations. The well-defined spray patterns (on the top) for the new polymer-based HMA are also evident from Figure 4. Adhesives applied using the Signature and Summit nozzles show the biggest difference in sprayability, especially for the SBC and one of the commercial olefins (Olefin Control 1).
Adhesive peel evaluations of these sprayed/coated samples were performed using a ChemInstruments Adhesion/Release Tester AR-1000, at a rate of
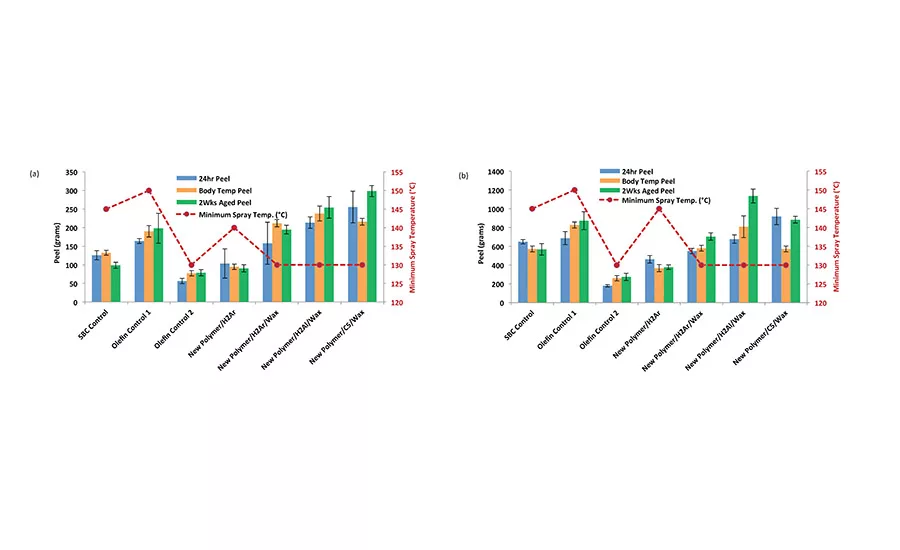
12 in./min. A 10-lb load cell was used to measure the peel force. Adhesive peel of the coated samples was evaluated at three different conditions, 24-hr peel (conditioned at 24°C/50% relative humidity for 24 hrs), body temperature peel (38°C for 4 hrs) and two weeks aged peel (aged for two weeks at 49°C). Figure 5-7 show the adhesive peel performance of four different adhesives formulated using the new polymer (formulation ref: Table 2) and three commercial control adhesives (two olefin adhesives and one SBC adhesive), along with their respective minimum spray temperatures (highlighted in red on second y-axis) using three different nozzle configurations, Signature, CF and Summit nozzle (respectively) at two different adhesive add-on rates (1 and 3 gsm).
As can be seen in Figure 5, the Signature nozzle-sprayed hygiene construction adhesive samples show the biggest difference in minimum spray temperature, especially for the commercial SBC control adhesive (minimum spray temperature of 145°C) and Olefin Control 1 adhesive (minimum spray temperature of 150°C). The new polymer-based adhesive showed a minimum spray temperature of 130°C for wax-containing formulations. Even though the Olefin Control 2 adhesive showed 130°C minimum spray temperature, the adhesive peel strength was the lowest of all adhesives evaluated. However, the new polymer-based adhesive showed similar or better adhesive peels than the respective control adhesives (SBC and both olefin controls), especially the adhesives formulated with small amount of wax. Adhesive peel trend and minimum spray temperature trend for the 1 gsm add-on and 3 gsm add-on were the same, and this was consistent with the CF and Summit nozzles.
Interestingly, all of the CF nozzle-sprayed adhesives (see Figure 6) showed 130°C minimum spray temperature, and the adhesive peel results trends were consistent with the Signature nozzle study. Summit nozzle-sprayed samples also showed similar adhesives peel trend and sprayability characteristics as Signature nozzle study irrespective of add-on rates, in which the SBC control and Olefin Control 1 adhesive showed a minimum spray temperature of 145°C, compared to 130°C for the new polymer-based adhesives. Overall, the minimum spray temperature was independent of the add-on rate (1 and 3 gsm) for the new polymer-based adhesives, irrespective of the nozzle configuration.
The new olefin polymer-based hygiene construction adhesive can be formulated to any spray temperature and adhesive peel strength, depending on the brand owner/formulator requirement. This formulation flexibility (to use different polymer levels, different tackifier chemistries and different additives at small amounts) to achieve the desired final performance of broad temperature sprayability (low-high) and excellent adhesion at different conditions is the biggest robustness advantage of the new olefin polymer.
Thermal stability characteristics of the adhesives were evaluated at 177°C in an air-draft oven by keeping the adhesives samples in a 10-oz jar for 96 hrs, as shown in Figure 8. Initial viscosity at 177°C and final aged viscosity (after 96 hrs of aging) at 177°C was measured using a Brookfield viscometer as shown in Figure 9 (p. 26). The new polymer-based HMA also showed the best thermal stability (initial and aged color) and viscosity stability characteristics compared to the SBC control and two olefin control adhesives. It is expected to have excellent thermal stability characteristics contributing to low color, low odor and clean runnability performance.
Robustness
A new technology has been developed to produce olefin polymers that can be used for a variety of applications. The broad range of properties and rheological characteristics of these new olefin polymers make them suitable for different market segments, including hot-melt adhesives applications (e.g., hygiene, packaging, PSA, etc.) and structural applications (e.g., TPE, film modification, etc.).
The new polymer provides brand owners and/or formulators with the best formulation flexibility (to use different polymer levels, different tackifier chemistries and different additives at small amounts) to achieve the desired final performance. Hygiene construction adhesives formulated using this new olefin polymer provide a broad operating window with broad temperature sprayability (good balance of low- and high-temperature sprayability, ≥ 130°C) and excellent adhesion, irrespective of nozzle type, line speed, and add-on rate. The excellent thermal and viscosity stability of this new polymer-based hygiene construction adhesive also make them a low-odor, low-color and clean runnable solution for hygiene construction adhesives. It is evident that this new olefin polymer provides robust performance characteristics for hygiene construction adhesives.
For additional information, contact the author at (412) 384-2520 or rajeshp@eastman.com, or visit www.eastman.com.
References
1. Carothers, W.H.; Hill, J.W.; Kirby, J.E.; Jacobson, R.A., J. Am. Chem. Soc., 1930, 52, 5279.
2. White, J.L.; Choi, D., In Polyolefins: Processing, Structure Development and Properties, Hanser Gardner Publications Inc., Cincinnati, 2005.
3. Ziegler, K.W.; Gellert, H.G., U.S. Patent No. 2699457, 1955.
4. Natta, G.; Pino, P.; Corradini, P.; Danusso, F.; Mantica, E.; Mazzanti, G.; Moraglio, G., J. Am. Chem. Soc., 1955, 77, 1708.
5. Elaston, C.T., U.S. Patent 3645992, 1970.
6. Kaminsky, W.; Kulper, K.; Brintzinger, H.H.; Wild, F.R. W.P., Angew. Chem. Int. Ed. Eng., 1985, 24, 507.
7. Ewen, J.; Jones, R.L.; Razavi, A.; Ferrara, J.D., J. Am. Chem. Soc., 1988, 110, 6255.
8. Lai, S.Y.; Wilson, J.R.; Knight, G.W.; Stevens, J.C.; Chum, S.P., U.S. Patent 5272236, 1993.
9. Stevens, J.C., Stud. Surf. Sci. Catal., 1994, 89, 277.
10. Minick, J.; Moet, A.; Hiltner, A.; Baer, E.; Chum, S.P., J. Appl. Polym. Sci., 1995, 58, 1371.
11. Arriola, D.J.; Carnahan, E.M.; Hustad, P.D.; Kuhlman, R.L.; Wenzel, T.T., Science, 2006, 312, 714.
12. Wang, H.P.; Khariwala, D.U.; Cheung, W.; Chum, S.P.; Hiltner, A.; Baer, E., Macromolecules, 2007, 40, 2852.
13. Khariwala, D.U.; Taha, A.; Chum, S.P.; Hiltner, A.; Baer, E., Polymer, 2008, 49, 1365.
14. Li Pi Shan, C.; Yalvac, S.; Diehl, C.; Marchand, G.; Rickey, C.; Karjala, T.; Carvagno, T.; Dunckley, P.M.; Germinario, L., 30th International PSTC Technical Seminar, Orlando, Fla., 2007.
Acknowledgements
The author would like to thank Bennett Novak, Marc Somers, Ray Cottle, Timothy Williams, Andrea Hagood and Gary Robe of Eastman Chemical Co. for their support, hard work and valuable contributions from ideation to commercialization. In addition, the author would also like to thank everybody who was involved in this project for their valuable support and contributions throughout the course of this novel olefin development program.
Editor's note: This article is based on a paper given at the Adhesive and Sealant Council's Spring 2015 Convention and Expo in Nashville, Tenn.
Looking for a reprint of this article?
From high-res PDFs to custom plaques, order your copy today!







